New Preprint & Code Out Now
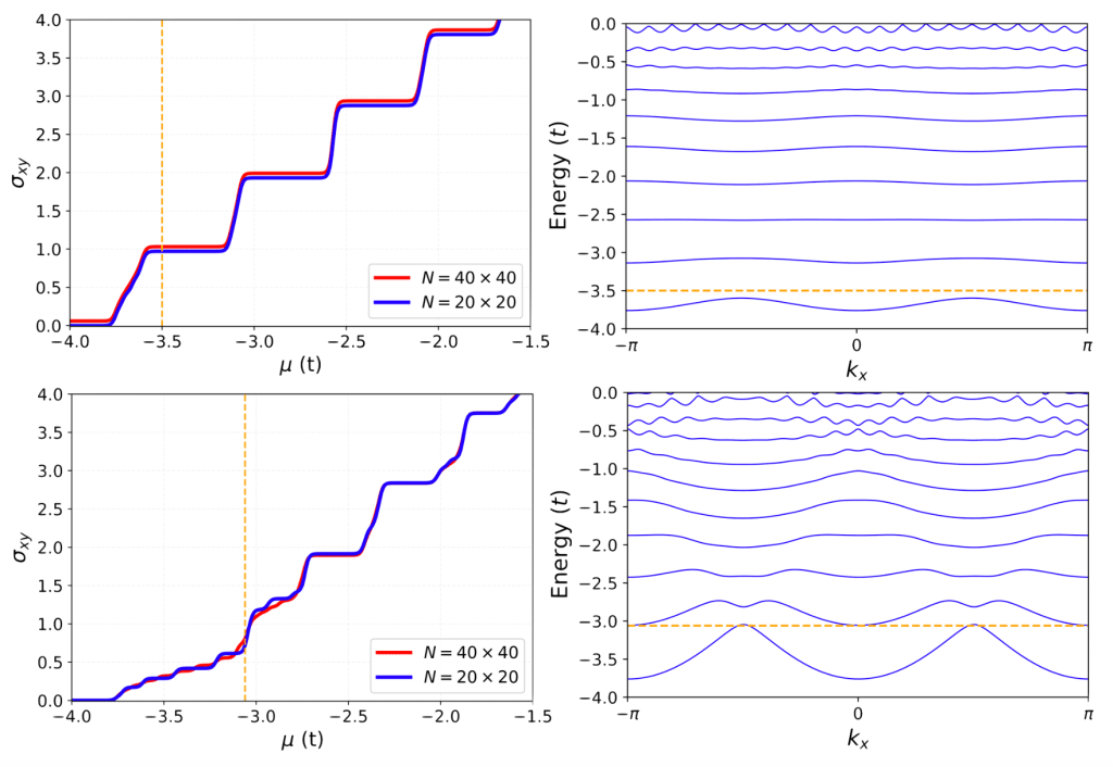
Can strong electron correlation affect integer quantum Hall conductivity? Yes! Check out my new preprint (link here) and the corresponding code, STARLIGHT (link here), to learn more!
Jan 24, 2026 Updated 6:42 p.m. MT